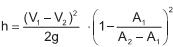
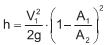
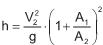
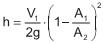
Um escoamento permanente, turbulento, de um fluido incompressível ocorre através de um conduto horizontal cuja área transversal da seção dobra de tamanho bruscamente. Sejam V1 e V2 as velocidades e A1 e A2 as áreas transversais antes e depois da expansão do conduto, respectivamente. Despreze as tensões de cisalhamento que agem nas paredes das duas seções, adote velocidade uniforme nas seções transversais ao escoamento e considere a aceleração da gravidade local igual a g.
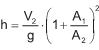
A expressão para a perda de carga devido à mudança brusca do tamanho da seção é
A expressão para a perda de carga devido à mudança brusca do tamanho da seção é
Provas
Questão presente nas seguintes provas
Analista da EPE - Projetos de Geração de Energia
60 Questões