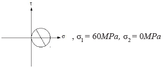
A figura abaixo representa um estado plano de tensões de um determinado carregamento.

O diagrama de Mohr que melhor representa este estado de tensão e o valor de suas tensões principais valem, aproximadamente:
Provas
Questão presente nas seguintes provas