Magna Concursos
1148639 Ano: 2016
Disciplina: Física
Banca: IADES
Orgão: PC-DF
Provas:

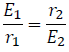
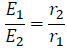
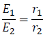
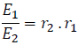
Duas esferas de raios r1 e r2 , separadas por uma distância grande em relação aos raios das esferas, possuem cargas q1 e q2, respectivamente. As esferas são, então, conectadas por um fio.

Com base nessa situação hipotética, assinale a alternativa que relaciona os campos elétricos em função dos raios das esferas.

 

Provas

Questão presente nas seguintes provas

Perito Criminal - Física

80 Questões