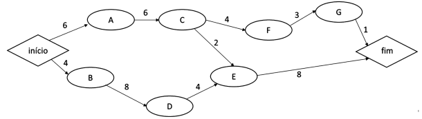
Um gerente de projeto, responsável pela realização de uma feira de estágio em uma universidade, desenvolveu o seguinte
diagrama de rede, com base no cronograma do projeto.

Esse diagrama apresenta as sete atividades do projeto (A, B, C, D, E, F e G), as suas dependências e os tempos das atividades em semanas.
As seguintes atividades estão no caminho crítico do projeto:

Esse diagrama apresenta as sete atividades do projeto (A, B, C, D, E, F e G), as suas dependências e os tempos das atividades em semanas.
As seguintes atividades estão no caminho crítico do projeto: