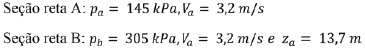
A perda de carga é uma condição importante nos projetos hidráulicos. Nesse sentido, um engenheiro tem acesso às seguintes informações para um escoamento de água a 20 °C com densidade 3 igual a 1g/cm3.

Dados do tubo: diâmetro igual a 8 cm.
Considerando a aceleração da gravidade igual a 2 10m/s no local do escoamento, a perda de carga, em módulo e em kPa, é:
Provas
Questão presente nas seguintes provas