Dados para auxiliar a resolução da questão seguinte.
| !$ \theta !$ | !$ \mathsf{sen\theta} !$ | !$ \mathsf{cos\theta} !$ |
| !$ 0^\circ !$ | !$ 0 !$ | !$ 1 !$ |
| !$ 30^\circ !$ | !$ 1/2 !$ | !$ \sqrt{3}/2 !$ |
| !$ 45^\circ !$ | !$ \sqrt{2}/2 !$ | !$ \sqrt{2}/2 !$ |
| !$ 60^\circ !$ | !$ \sqrt{3}/2 !$ | !$ 1/2 !$ |
| !$ 90^\circ !$ | !$ 1 !$ | !$ 0 !$ |
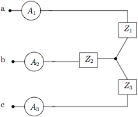
Determine a leitura do amperímetro A1 para o circuito mostrado a seguir.
O circuito é alimentado por uma fonte trifásica de 240 V, 60 Hz. Com Z1 = 3 ∠ 0ºΩ, Z2 = 3 ∠ 90ºΩ e Z3 = 3 ∠ –90ºΩ.
