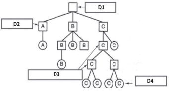
A figura abaixo ilustra um sistema hierárquico de diretórios.

Nessa figura, os termos DIRETÓRIO DE USUÁRIO, DIRETÓRIO RAIZ, ARQUIVOS DE USUÁRIO e SUBDIRETÓRIOS DE USUÁRIO correspondem aos componentes identificados, respectivamente, por:
Provas
Questão presente nas seguintes provas