Magna Concursos
3241132 Ano: 2024
Disciplina: Engenharia Eletrônica
Banca: DIRENS Aeronáutica
Orgão: EEAr
Provas:

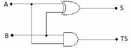
Qual a função do circuito abaixo?

Enunciado 3545617-1

 

Provas

Questão presente nas seguintes provas