Magna Concursos
650609 Ano: 2014
Disciplina: Engenharia Mecânica
Banca: CESGRANRIO
Orgão: Petrobrás
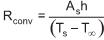
Considere a transferência de calor por convecção de uma superfície sólida de área As e temperatura Ts para um fluido com um coeficiente de transferência de calor por convecção h, e cuja temperatura longe da superfície é T∞.

A resistência térmica da superfície contra o calor, ou simplesmente a resistência de convecção da superfície é dada por
 

Provas

Questão presente nas seguintes provas

Engenheiro de Equipamentos - Mecânica

70 Questões