Em 2021, comemorou-se o centenário da descoberta e da produção da insulina. No Brasil, a produção de insulina recombinante iniciou-se mediante a colaboração entre a empresa Biobrás e pesquisadores da Universidade de Brasília.
Considerando o texto precedente como motivador, julgue o item subsecutivo.
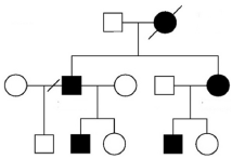
Considerando-se que mutações no gene da insulina podem causar diabetes neonatal e que a seguir há um heredograma que representa uma família afetada por diabetes bem como a segregação da doença nessa família, é correto afirmar que o mecanismo de herança da diabetes neonatal nessa família é autossômico recessivo.
