Magna Concursos
453512 Ano: 2013
Disciplina: Engenharia Elétrica
Banca: FGV
Orgão: TJ-AM
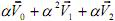
Qualquer sistema trifásico desequilibrado pode ser decomposto por três sistemas trifásicos denominados como componentes simétricos. Nessa teoria, as relações das grandezas fasoriais e seus respectivos componentes simétricos, se dão por meio do operador α (1 ∠ 120°).
Em um dado sistema trifásico, a tensão enunciado 453512-1 , em termos de seus componentes simétricos é igual a
 

Provas

Questão presente nas seguintes provas

Analista Judiciário - Engenharia Elétrica

80 Questões