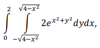
Convertendo a integral dupla em coordenadas retangulares

para uma integral dupla em coordenadas polares, obtém-se como resultado:
Convertendo a integral dupla em coordenadas retangulares

para uma integral dupla em coordenadas polares, obtém-se como resultado: