Magna Concursos
263683 Ano: 2013
Disciplina: TI - Banco de Dados
Banca: CESGRANRIO
Orgão: Liquigás
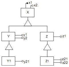
Em relação aos diagramas E-R, presente no enunciado, as seguintes convenções foram adotadas:

• Os atributos das entidades e das relações são representados por círculos.
• Os atributos identificadores são representados por círculos preenchidos. Em relação aos esquemas relacionais apresentados nas alternativas, as seguintes convenções foram adotadas:
• Uma tabela tem um nome e uma lista de colunas entre parênteses.
• Os tipos de dados das colunas são irrelevantes para as questões.
• As colunas que compõem as chaves primárias estão sublinhadas.
• Uma chave estrangeira é mostrada na formaEnunciado 263683-1 representa a(s) coluna(s) que faz(em) parte da chave estrangeira e Enunciado 263683-2 representa a tabela que a chave estrangeira referencia.

O diagrama E-R abaixo exibe uma hierarquia de entidades:

Enunciado 263683-3

Qual esquema Relacional preserva a semântica do modelo acima?
 

Provas

Questão presente nas seguintes provas

Profissional Jr - TI/Análise de Sistemas

70 Questões