Magna Concursos
164142 Ano: 2018
Disciplina: Matemática
Banca: CESGRANRIO
Orgão: Petrobrás
Provas:

Seja a função Enunciado 164142-1 cuja transformada de Fourier é dada por Enunciado 164142-2

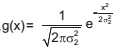
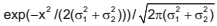
Seja, também, Enunciado 164142-3 . A convolução entre f e g é dada por Enunciado 164142-4

Sendo assim, H(x) é igual a

 

Provas

Questão presente nas seguintes provas

Geofísico - Física

70 Questões