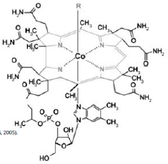
A vitamina !$ B_{12} !$ (também chamada de cobalamina) apresenta coloração vermelha devido à presença do elemento cobalto. Esse metal é importante na prevenção de anemia perniciosa e também de algumas doenças mentais. A estrutura da vitamina, ilustrada a seguir, indica que, o cobalto encontra-se em um complexo cuja geometria é:

( PANIZ, C. et al, J. Bras. Patol. Med. Lab., v. 41, n.5, p. 323-334, 2005).