Magna Concursos

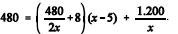
Para presentear o chefe de departamento de uma empresa por ocasião de seu aniversário, os empregados desse departamento pesquisaram e decidiram comprar um televisor de R$ 480,00, que seriam divididos igualmente entre todos. No momento da cotização, 5 desses empregados argumentaram que se encontravam em dificuldades financeiras e que poderiam pagar apenas a metade da cota inicial de cada um. Dessa forma, coube a cada um dos outros empregados mais R$ 8,00, além da cota inicial.

Com referência à situação hipotética apresentada, e representando por x a quantidade de empregados desse departamento, julgue os próximos itens.

A relação entre x e o valor do televisor pode ser expressa pela seguinte equação: Enunciado 2996099-1

 

Provas

Questão presente nas seguintes provas

Controlador de Movimentação e Transporte

120 Questões

Eletricista

120 Questões

Mecânico

119 Questões

Operador de Movimentação e Transporte

120 Questões

Técnico - Inspetor de Segurança Interna

120 Questões

Técnico - Química do Petróleo

120 Questões

Técnico - Segurança

120 Questões

Técnico - Telecomunicações

120 Questões

Técnico de Contabilidade

120 Questões

Técnico de Enfermagem do Trabalho

120 Questões

Técnico de Instrumentação

120 Questões

Técnico de Manutenção - Caldeiraria

120 Questões

Técnico de Operação

120 Questões