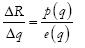
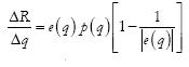
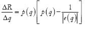
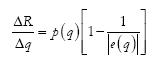
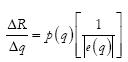
Sendo e(q) a elasticidade-preço de uma dada demanda, ΔR/Δq a receita marginal e p(q) o preço, a fórmula que expressa a relação entre receita marginal e preço é: a relação entre receita marginal e preço é:
Sendo e(q) a elasticidade-preço de uma dada demanda, ΔR/Δq a receita marginal e p(q) o preço, a fórmula que expressa a relação entre receita marginal e preço é: a relação entre receita marginal e preço é: