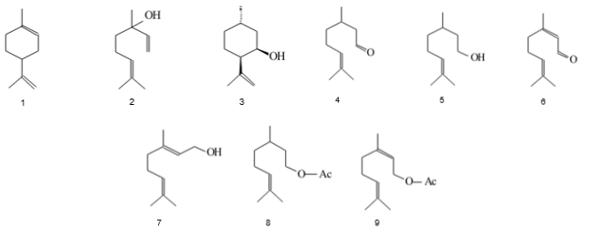
A citronela, conhecida por seu aroma cítrico e propriedades repelentes, tem sido amplamente estudada em relação ao combate à dengue. O óleo essencial de citronela, extraído de plantas como a Cymbopogon nardus e Cymbopogon winterianus, é reconhecido por sua eficácia na repelência de insetos, incluindo o Aedes aegypti, mosquito transmissor da dengue. O óleo extraído pode conter frações das estruturas abaixo.

Sobre as estruturas demonstradas acima analise as afirmativas e assinale a CORRETA.