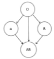
No sistema ABO de classificação de grupos sanguíneos, há quatro grupos sanguíneos: A, B, AB e O.
Considerando-se apenas a compatibilidade dos glóbulos vermelhos, característica desse sistema de classificação sanguínea, indivíduos com sangue de um determinado grupo sanguíneo podem doar para indivíduos do mesmo grupo. Além disso, a figura a seguir mostra a compatibilidade de glóbulos vermelhos entre doadores e receptores de grupos sanguíneos diferentes, onde as setas utilizadas partem de doadores e chegam a receptores.

Nas tabelas a seguir, cada S (sim) ou N (não) indica se um indivíduo do grupo sanguíneo da linha correspondente pode doar (S) ou não (N) sangue para um indivíduo do grupo sanguíneo da coluna correspondente.
A tabela que mostra corretamente as compatibilidade dos glóbulos vermelhos entre doadores e receptores é: