Uma barra do aço ABNT 4140 laminada a quente é submetida a ensaios giratórios com dobramento segundo ciclos alternados de tensões. Se o diâmetro dos corpos de prova é 8+-0,025 mm, determine a carga cíclica máxima que pode ser aplicada para assegurar que não irá ocorrer uma falha por fadiga.
Considere um fator de segurança de 2,0 e que a distância entre os pontos de aplicação de carga seja de 51,5+-0,1 mm.
Dados: Limite de resistência à fadiga 500MPa;
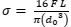
Tensão máxima para ensaios
giratórios com dobramento

Provas
Questão presente nas seguintes provas
Analista de Saneamento - Engenheiro Mecânico
50 Questões