Magna Concursos
591310 Ano: 2008
Disciplina: Matemática
Banca: FCC
Orgão: METRO-SP

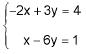
Num sistema de eixos cartesianos, a representação da solução do sistema enunciado 591310-1 é um ponto pertencente ao

 

Provas

Questão presente nas seguintes provas

Ajudante de Almoxarifado

50 Questões

Ajudante de Manutenção - Civil

50 Questões