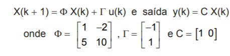
Considere as seguintes equações de estado que representam
um modelo linear de um sistema de 2a
ordem
discreto:

Os polos desse sistema discreto estão localizados no plano complexo Z e são obtidos calculando-se as raízes do polinômio

Os polos desse sistema discreto estão localizados no plano complexo Z e são obtidos calculando-se as raízes do polinômio