1404015
Ano: 2013
Disciplina: TI - Desenvolvimento de Sistemas
Banca: DIRENS Aeronáutica
Orgão: EEAr
Disciplina: TI - Desenvolvimento de Sistemas
Banca: DIRENS Aeronáutica
Orgão: EEAr
Provas:
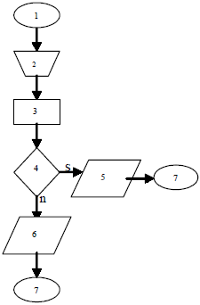
Analise o algoritmo abaixo:

1. Início
2. Ler N1, N2, N3 e N4
3. Calcular !$ \mathsf{M=\dfrac{N1+N2+N3+N4}{4}} !$
4. M > 7
5. Imprimir ‘Aprovado’
6. Imprimir ‘Reprovado’
7. Fim
Considerando as seguintes notas de um aluno:
N1=4,5; N2=6,5; N3=7,5 e N4=9,5 e, ainda, que essas variáveis estão definidas como reais, assinale a alternativa correta: