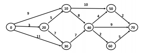
No controle da execução física de obras de engenharia, é muito comum o uso de redes PERT-COM. A figura 4 abaixo mostra um exemplo dessas redes, onde as atividades, representadas por setas, possuem duração em dias corridos expressa pelo número acima da seta. Os círculos mostram as incidências de início e término das atividades e o projeto se inicia em 0 e termina em 70.

O caminho crítico da rede é: