Sobre o hiperboloide de uma folha, de equação
, quando interceptado pelo plano x = 10
determina-se, no espaço, uma elipse. Nesse caso, o comprimento
do eixo maior dessa elipse, em unidades de comprimento, é igual a
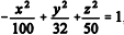
Sobre o hiperboloide de uma folha, de equação
, quando interceptado pelo plano x = 10
determina-se, no espaço, uma elipse. Nesse caso, o comprimento
do eixo maior dessa elipse, em unidades de comprimento, é igual a