Magna Concursos
2949099 Ano: 2023
Disciplina: Engenharia Eletrônica
Banca: FEPESE
Orgão: CAJ-SC
Provas:
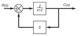
O diagrama de blocos ilustrado na figura abaixo representa um sistema em malha fechada em que o sinal de entrada é denotado por R(s) e o sinal de saída por C(s).


Enunciado 3253459-1


Assinale a alternativa que indica corretamente a função de transferência C(s)/R(s) do sistema.
 

Provas

Questão presente nas seguintes provas

Analista - Automação

45 Questões