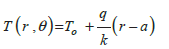
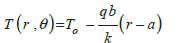
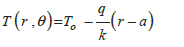
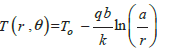
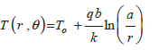
Determine o campo de temperatura em uma placa circular de
raio interno a e raio externo q submetido a um fluxo térmico
externo b por unidade de área, em torno do perímetro da placa
e com uma temperatura constante prescrita To no perímetro
interno da placa. Sabe-se que o sistema se encontra em
regime permanente e sem fontes internas de calor. As
propriedades da placa são o módulo de elasticidade E, o
coeficiente de Poisson v, coeficiente de dilatação térmica
e
condutividade térmica a
e
condutividade térmica a