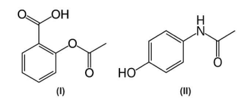
Os fármacos I e II apresentam características peculiares na terapia da inflamação, febre e dor. O fármaco I inibe de maneira irreversível as enzimas cicloxigenases, já o fármaco II é antipirético e analgésico, mas amplamente desprovido de ação anti-inflamatória.

Os fármacos I e II são, respectivamente: