Para responder às questões 45, 46 e 47, utilize os dados abaixo:
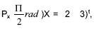
No plano, um ponto de coordenadas x, y) pode sofrer uma rotação de um ângulo θ radianos, em torno do eixo dos x, através da matriz de rotação Px θ ) abaixo 
, onde X = x y )t a matriz das incógnitas, o resultado de 2x + 3y igual aProvas
Questão presente nas seguintes provas