Magna Concursos
354784 Ano: 2018
Disciplina: Matemática
Banca: FADESP
Orgão: IF-PA

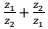
Se z1 e z2 são as raízes de z2 -(1+i)z+(2-i)=0 enunciado 354784-1 é igual a

 

Provas

Questão presente nas seguintes provas

Professor PEBTT - Matemática

60 Questões