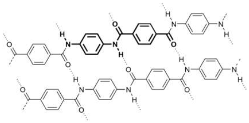
A Aramida é o nome de uma fibra sintética com alta resistência. É comercializada com o nome comercial de “Kevlar”. É usada na fabricação de cintos de segurança, cordas, coletes à prova de balas, raquetes de tênis, entre outros. A fórmula estrutural da Aramida é

Sobre essa substância e sua estrutura, é CORRETO afirmar que