- Química OrgânicaFunções Nitrogenadas: Amina, Amida, Nitrila, Isonitrila e Nitro Composto
- Química OrgânicaFunções Oxigenadas: Cetona, Aldeído, Éter, Éster, Ácido Carboxílico etc.
- Química OrgânicaHidrocarbonetos
- Química OrgânicaIsomeria Plana e Espacial
- Química OrgânicaReações OrgânicasReações Orgânicas: Substituição, Adição e Eliminação

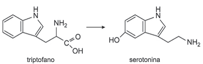
A Figura a cima apresente uma reação de conversão de triptofano em serotonina. Com relação a essas duas substâncias e ao processo metabólico em que elas estão envolvidas, é CORRETO afirmar que: