
No desenvolvimento de banco de dados (BD) relacionais, a engenharia reversa de arquivo consiste na obtenção de um modelo entidade-relacionamento (ER) a partir de listas, relatórios ou BD antigos. Considerando que, no caso do controle de vendas para um supermercado, uma possível tabela de mercadorias é apresentada acima, julgue os itens subseqüentes, com relação a banco de dados relacionais.
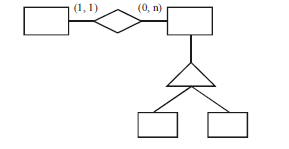
O diagrama ER a seguir ilustra um modelo ER, conforme concebido por Chen. Nesse diagrama, os retângulos representam entidades, o triângulo representa o conceito de generalização/especialização e o losango representa um relacionamento entre entidades.

Provas
Questão presente nas seguintes provas
Perito Criminal Federal - Análise de Sistemas
120 Questões