Magna Concursos
2756504 Ano: 2023
Disciplina: Matemática
Banca: FGV
Orgão: Pref. Jaboatão dos Guararapes-PE
Provas:

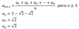
Considere a sequência de números reais definida pela seguinte relação de recorrência:

Enunciado 3540473-1

Sobre essa sequência, é correto afirmar que

 

Provas

Questão presente nas seguintes provas

Professor - Matemática

70 Questões