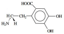
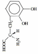
Atualmente, é possível sintetizar-se em laboratórios compostos enantioméricos que atuam como fármacos, como a Dopamina. O isômero D não possui atividade biológica, enquanto o L apresenta atividade contra o parkinsonismo. Assim, a alternativa abaixo que ilustra o enantiômero correto para a D-dopamina é

Fonte:https://www.feis.unesp.br/Home/departamentos/fisicaequimica/relacaodedocentes973/jeanricharddasnoyma rinho/quimica-organica.pdf