1741466
Ano: 2018
Disciplina: TI - Desenvolvimento de Sistemas
Banca: ACEP
Orgão: Pref. Aracati-CE
Disciplina: TI - Desenvolvimento de Sistemas
Banca: ACEP
Orgão: Pref. Aracati-CE
Provas:
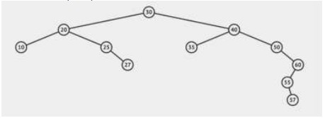
Considere a Árvore Binária de Busca (ABB) ilustrada abaixo:

Para que esta árvore se torne balanceada, a quantidade mínima de operações de rotação (para esquerda ou para a direita) necessárias é: