Magna Concursos
1205603 Ano: 2019
Disciplina: Matemática
Banca: IMPARH
Orgão: Pref. Fortaleza-CE
Provas:

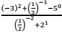
Podemos afirmar que a expressão Enunciado 1205603-1 tem valor igual a:

Questão Anulada

Provas

Questão presente nas seguintes provas

Professor - Matemática

40 Questões