885913
Ano: 2015
Disciplina: Engenharia Elétrica
Banca: Instituto Acesso
Orgão: Col. Pedro II
Disciplina: Engenharia Elétrica
Banca: Instituto Acesso
Orgão: Col. Pedro II
Provas:
- Transformadores e Máquinas ElétricasMáquinas de Corrente Contínua
- Transformadores e Máquinas ElétricasMáquinas Síncronas
- Transformadores e Máquinas ElétricasMáquina de Indução
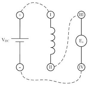
Um motor universal possui seus terminais de bobina de campo e de induzido acessíveis, conforme apresentado
na figura.

De modo a inverter o sentido de rotação do motor em relação ao sentido de rotação da figura, o motor deverá ter seus terminais ligados da forma como apresentado na opção:

De modo a inverter o sentido de rotação do motor em relação ao sentido de rotação da figura, o motor deverá ter seus terminais ligados da forma como apresentado na opção: