A respeito de probabilidade, julgue o item.
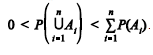
Considerando-se um espaço amostral W e a sequência de eventos A1, A2, ..., An, em que !$ A_1 \subset A_2 \subset ... \subset A_n \subset \Omega !$ e P(Ai) > 0, então 
A respeito de probabilidade, julgue o item.
Considerando-se um espaço amostral W e a sequência de eventos A1, A2, ..., An, em que !$ A_1 \subset A_2 \subset ... \subset A_n \subset \Omega !$ e P(Ai) > 0, então 