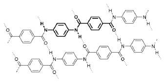
O kevlar, uma fibra robusta usada em coletes a prova de bala, roupas e luvas protetoras contra calor e fogo, etc., apresenta a seguinte fórmula estrutural:

O kevlar pode ser produzido pelos monômeros:

Com relação aos compostos acima, analise as afirmações seguintes.
1) O kevlar apresenta em sua estrutura grupos amida e ligações de hidrogênio.
2) O monômero A é o 1,4-diamino bezeno.
3) O monômero B possui dois grupos fenol e dois grupos hidroxila.
Está(ão) correta(s):
Provas
Questão presente nas seguintes provas