
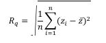
A rugosidade pode ser considerada como uma medida do quanto uma dada superfície difere de uma superfície perfeitamente lisa, representada, na fórmula precedente, por
Com base nas informações da situação hipotética apresentada, é correto afirmar que o parâmetro Rq, na fórmula precedente, corresponde