Magna Concursos
602970 Ano: 2013
Disciplina: Engenharia Eletrônica
Banca: CESPE / CEBRASPE
Orgão: MPU
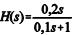
Considere um sistema dinâmico contínuo no tempo cuja função de transferência é dada por Enunciado 602970-1 Visando uma aplicação que requer dados na forma discreta, será necessário converter essa função de transferência para o domínio do tempo discreto utilizando a transformada Z. Para esta conversão, é utilizada a transformação bilinear com frequência de amostragem igual a 5 Hz. Com base nessas informações, julgue o item que se segue.

A resposta ao degrau unitário do sistema contínuo em regime estacionário é igual a 2.
 

Provas

Questão presente nas seguintes provas

Analista Ministerial - Engenharia Elétrica

120 Questões