Magna Concursos
403262 Ano: 2013
Disciplina: TI - Desenvolvimento de Sistemas
Banca: UFG
Orgão: IF-Goiano
Provas:

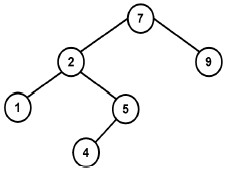
Considere a árvore binária a seguir.

Enunciado 403262-1

Qual a sequência da consulta pré-ordem sobre os nós dessa árvore?

 

Provas

Questão presente nas seguintes provas

Analista de TI

60 Questões