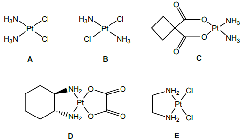
Após a descoberta da atividade antitumoral da cisplatina, um grande número de complexos da platina vem sendo sintetizados e avaliados quanto à sua atividade antineoplásica. Foram desencadeadas mundialmente várias pesquisas e mais de 3.000 compostos análogos foram sintetizados. Abaixo seguem alguns exemplos de complexos de platina e alguns destes já foram aprovados para a comercialização:

Com base nos complexos apresentados, assinale a alternativa correta: