539946
Ano: 2019
Disciplina: Raciocínio Lógico
Banca: IBFC
Orgão: Pref. Cabo Santo Agostinho-PE
Disciplina: Raciocínio Lógico
Banca: IBFC
Orgão: Pref. Cabo Santo Agostinho-PE
Provas:
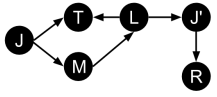
Leia o trecho abaixo retirado do poema Quadrilha de Carlos Drummond de Andrade.
João amava Teresa que amava Raimundo que
amava Maria que amava Joaquim que amava Lili
que não amava ninguém.
Uma pessoa representa por meio de um diagrama lógico estes versos, conforme abaixo.

A partir dessa representação foi proposto um novo poema.

Assinale a alternativa correta quanto a uma construção que é compatível com o diagrama e a lógica que incorpora.
Provas
Questão presente nas seguintes provas