
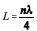
O esquema acima representa o funcionamento do ouvido humano, em que os sons externos produzem uma variação de pressão no ar, no interior do canal auditivo, fazendo a membrana (tímpano) vibrar. Esse sistema, que funciona de forma equivalente à propagação de ondas sonoras em tubos, possui uma das extremidades fechadas por uma membrana (tímpano). Desse modo, o ser humano pode ouvir apenas as freqüências sonoras cujos comprimentos de ondas λ satisfaçam a relação
, em que L é o comprimento do canal auditivo e n é um número ímpar positivo. De acordo com esse modelo e assumindo-se que a velocidade do som é igual a 344 m/s e que L = 3,0 cm, conclui-se que a freqüência do primeiro harmônico, após o fundamental, que pode ser ouvido por um ser humano é igual a