Magna Concursos
1035629 Ano: 2016
Disciplina: Engenharia Eletrônica
Banca: CESPE / CEBRASPE
Orgão: Polícia Científica-PE
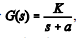
Considerando um sistema linear cuja função de transferência seja dada por Enunciado 1035629-1, assinale a opção que apresenta o período de tempo aproximado, em segundos, que o sistema leva para atingir o regime permanente ao ser excitado por uma função degrau.
 

Provas

Questão presente nas seguintes provas

Perito Criminal - Engenharia Elétrica

100 Questões