Magna Concursos
1866122 Ano: 2006
Disciplina: Matemática
Banca: VUNESP
Orgão: Pref. Sorocaba-SP
Provas:

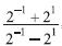
Efetuando-se Enunciado 1866122-1 , obtém-se

 

Provas

Questão presente nas seguintes provas

Auxiliar Administrativo

50 Questões