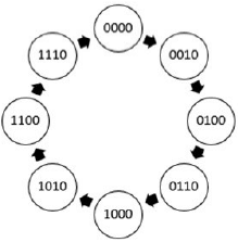
Os circuitos digitais sequenciais são projetados levando em consideração as informações atuais das entradas, geradas através de portas lógicas combinacionais e, também, das informações dos estados anteriores, sendo este através de elementos de memória. Qual o circuito sequencial representado pelo diagrama da figura abaixo?

Assinale a alternativa que responde CORRETAMENTE à questão acima.