
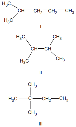
Sobre os hidrocarbonetos acima, afirma-se que o(s)
Provas
Questão presente nas seguintes provas
Técnico Químico Júnior
50 Questões
Técnico Químico Pleno
50 Questões

Sobre os hidrocarbonetos acima, afirma-se que o(s)